如何解決電鍍廢水的采集和監測問題?
- 2019-03-21
- 3473
- 無錫錫云環保科技有限公司
電鍍廢水屬于常見的工業廢水,由于電鍍廢水的產生工段不同,處理過程和方式不同,在電鍍廢水樣品采集和監測分析過程中經常會出現一些問題,給監測人員帶來困擾。電鍍廢水多數情況下只經過氣浮、離子交換、萃取等物理方法進行凈化處理,很少會設置后續的生化處理工段,雖然電鍍廢水處理后重金屬及有機物的含量會大幅降低,但隨著藥劑的加入,廢水的性質也在發生變化。

1、重金屬對化學需氧量測定的影響
在日常化學需氧量(COD)的測定過程中,經常出現COD前低后高的現象,導致無法計算污染物的去除效率和減排量。
首先,未處理的電鍍廢水中含有大量高價態重金屬(如含鉻廢水中的六價鉻),在分析COD時要向廢水中加濃硫酸,在加熱條件下高價重金屬的氧化性會增強,間接增大了氧化劑的含量并對廢水中的有機物進行氧化,從而使COD顯著提高,偏離真實值,偏移量與重金屬離子的含量呈正相關。
因此,在分析COD時,首先應分析重金屬對測量結果產生的影響。在不影響測試結果的前提下,先對重金屬進行還原,讓重金屬由高價轉化為低價,從而降低其氧化性,使其對測量結果產生的影響降至較低。
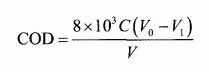
其次,COD測定在一定程度上受廢水色度的影響,而重金屬的存在往往會使廢水呈一定的顏色,并且廢水顏色隨重金屬離子濃度增大而加深。如含銅離子的廢水呈藍色,含六價鉻或三價鐵離子的廢水呈黃色。在采用重鉻酸鉀法測COD時,重金屬離子與反應終點溶液的紅褐色疊加會使滴定終點提前出現,即硫酸亞鐵銨的用量減少,根據式(1)可知,測量結果偏高。
式中,為空白試驗時消耗的硫酸亞鐵銨標準溶液體積,mL;為水樣測定時消耗的硫酸亞鐵銨標準溶液體積,mL;V為水樣的體積,mL;8為氧的摩爾質量,g/mol。因此在測COD時,可通過絮凝沉淀、離心的方式減少重金屬離子含量或轉變重金屬離子價態,以消除或降低重金屬離子的影響。
配位劑對COD測定結果的影響
電鍍廢水一般含有大量配位劑和還原性物質,還原性物質會與配位劑形成較大的環狀大分子螯合物而被包裹在其中,從而導致COD測定結果偏低。因此,在配合物存在的條件下,要選擇合適的化學破絡劑,使大分子螯合物分解,再測定COD。
2、氨氮的監測分析
電鍍廢水中的氨氮主要來源于酸洗液中含氨或苯胺類的緩蝕劑(如硫脲、烏洛托品、聯苯胺)、電鍍液中的銨鹽、鍍后漂洗液中的整平劑和光亮劑(如對甲苯磺酰胺、芐叉丙酮)以及退鍍液(烏洛托品)。
水樣中氨氮含量是指以游離氨(NH3)和銨離子(NH4+)形式存在的無機氮,而電鍍廢水中的氮主要來自有機胺類物質,在氣浮過程中一般會與絮凝劑形成大顆粒而被去除,對氨氮測量結果的影響較小。
為達到高效絮凝,氣浮過程常采用聚丙烯酰胺(PAM)作絮凝劑,但PAM在絮凝過程中會釋放出部分無機銨鹽,從而導致廢水的氨氮經常出現前、后數值“倒掛”的現象,即絮凝處理后廢水中的氨氮反而升高。
改用聚合氯化鋁(PAC)作絮凝劑,測得的氨氮濃度可以較好地反映出樣品中氨氮的真實濃度。
3、重金屬的監測分析
電鍍廢水是非連續性產生廢水,并且各個工段廢水的性質有較大差別:清洗工段、鍍層漂洗工段和電鍍廢液中的重金屬含量較高,但鍍后處理過程所產廢水的重金屬含量較低。
電鍍廢水處理過程一般是將各工段的廢水預先混合,再進行下一步處理。由于各工段的排水量和排放時段不同,混合后的廢水不具有代表性,造成監測數據不能真實地反映重金屬排放情況,特別是對于用量較少的金屬,經常會出現處理后廢水中的一些重金屬排放濃度大于處理前廢水的原重金屬濃度。
另外,電鍍污泥中含有一定量的重金屬,部分企業設置的后續生化過程會使部分污泥中的重金屬得到釋放,從而造成生化處理后廢水中的重金屬含量偏高。
因此,要根據生產周期進行采樣,使用“流量比例混合”采樣法,不同工段的廢水要按照產生量比例進行采樣并混合后再測定。
對設置有生化處理設施的廢水,按照“流量比例混合”法采集未處理廢水樣品、重金屬單元處理后廢水樣品和生化處理后廢水樣品,既可以反映出重金屬的排放情況,也可以測定出重金屬的去除率和生化單元電鍍污泥中重金屬的釋放情況。
采用上述方式采集樣品,可使監測結果更好地體現出真實的重金屬產生和去除情況,正確評價重金屬的去除率和排放濃度。
4、六價鉻的在線監測
目前,電鍍廢水的在線監測技術有了較快發展,特別是對含六價鉻廢水排放的連續監測。
我國六價鉻在線監測儀器主要是基于傳統的“二苯碳酰二肼分光光度法”。廢水中的六價鉻在酸性條件下與二苯碳酰二肼反應生成紫紅色配合物,利用分光光度法進行測定,含量與色度成正比,在監測過程中受廢水水質和實驗環境的影響較大,測量結果易出現偏差。
實驗室分析過程中,應以蒸餾水或者去離子水進行全程序空白試驗,在計算時予以扣除。六價鉻在線監測時,內部標準曲線按照一定濃度進行繪制,實驗溶液和參比溶液均使用去離子水或蒸餾水,兩者均不會出現色度的影響。
儀器進行分析是按照內部預設的流程進行樣品量取和分析,無法識別水質情況,水樣的色度會對測量結果產生較大影響,特別是黃色和藍色,使六價鉻的測量值往往是真實結果的數倍甚至數十倍,測定結果嚴重偏離真實值,準確性大大降低。
為消除色度的影響,可用含有色度的生產廢水對零點進行定期校正,或采用相同顏色和色度倍數的、不含六價鉻的溶液進行全過程標準溶液配制,并在計算中進行歸零處理六價鉻測定過程中的顯色時間和溫度也對實驗結果有重要影響。
南方室內溫度較高,如未采取降溫措施,二苯碳酰二肼溶液的顏色會發生改變。另外,光照會使生成的配合物部分分解,導致測定結果偏低。
電鍍廢水成分復雜,在分析過程中易出現文中提到的問題,如何避免其發生,需要相關監測人員充分了解采集廢水的特性(包括各工段污染物的種類、廢水的產生量),正確采集樣品。同時,要加大研發投入,開發新的技術方法和設備,正確地開展對電鍍廢水的監測。

















網站首頁
產品中心
新聞資訊
一鍵撥打